Outline of chemistry strategy for FMRT proposal (Aim 1)

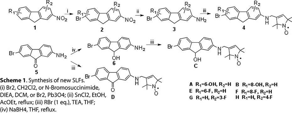
Similar to what we have determined with the SLF compound, other small molecules have been shown to block Aβ oligomer growth and/or fibril formation 1; 2. While the structures of these compounds (e.g. Congo Red, curcumin) are unrelated, they share the general features of an aromatic core for (suggesting they bind at a hydrophobic pocket) with hydroxyls amino groups for H-bonding. As shown in Fig 3, we propose three compounds with added hydrogen donors (A-C) and five compounds with added hydrogen acceptors (D-H). In addition, the fluorene compounds (E-H) are expected to provide increased metabolic stability. The synthetic route is shown in Scheme 1. Starting material 1 can be prepared according to approaches reported in the literatures3; 4; 5; 6; 7. Compound 3 will be generated by bromination of 1 followed by nitro reduction. N-alkylation of 3 with commercially available 3-bromomethyl-2,5-dihydro-2,2,5,5-tetramethyl-1H-pyrrol-1-yloxy (RBr) in presence of base triethylamine (TEA). Compound D can be easily synthesized from commercially available 5 using similar N-alkylation condition. Compound C will be synthesized from 5 by first reduction of keto to alcohol followed by N-alkylation.

Citations:
- Hard, T. & Lendel, C. (2012). Inhibition of amyloid formation. J Mol Biol 421, 441-65.
- Stevens, C. B., Hanna, J. M., Jr. & Lammi, R. K. (2013). Synthesis of tetrahydroxybiphenyls and tetrahydroxyterphenyls and their evaluation as amyloid-beta aggregation inhibitors. Bioorg Med Chem Lett 23, 1703-6.
- Fletcher, T. L., Namkung, M. J., Wetzel, W. H. & Pan, H.-L. (1960). Derivatives of fluorene. X. Fluorofluorenes. 3. J Org Chem 25, 1342-1348.
- Fletcher, T. L., Wetzel, W. H., Namkung, M. J. & Pan, H.-L. (1959). Derivatives of fluorene. VI. Fluorofluorenes 1. J Am Chem Soc 81, 1092-1094.
- Grantham, P. H., Weisburger, E. K. & Weisnurger, J. H. (1961). Ionization constants of derivatives of fluorene and other polycyclic compounds. J Organic Chem 26, 1008-1017.
- Suzuki, K., Weisburger, E. K. & Weisnurger, J. H. (1959). Nitration of 1- and 3-fluorofluorene. J Organic Chem 24, 1511-1517.
- Suzuki, K., Weisburger, E. K. & Weisnurger, J. H. (1961). Derivatives of 3-fluorofluorene by the Pschorr synthesis. J Org Chem 26, 2239-2242.

